的通" />
相關礦山企業:
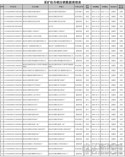
根據《國土資源部辦公廳關于全國礦業權統一配號系統數據庫清理有關事項的通知》(國土資廳函[2016]2010號)和《山西省國土資源廳辦公室關于轉發<國土資源部辦公廳關于全國礦業權統一配號系統數據庫清理有關事項的通知>的通知》(晉國土資辦發[2017]4號)文件精神,為進一步提高全國礦業權登記數據的準確性和時效性,國土資源部統一對礦業權登記過期數據進行清理。為全面做好我區礦業權數據庫清理工作,現將有關清理事項公告如下:
一、清理范圍:由區級國土資源部門進行采礦登記,采礦許可證已超出有效期限的磚瓦粘土和河砂采礦權。
二、本公告下發之日前,采礦許可證已超出有效期限的上述采礦權,全部列入此次清理范圍。在本公告下發30日內,向堯都區國土資源局提交注銷申請,并履行相關土地復墾、礦山地質環境恢復治理等義務,由堯都區國土資源局組織對礦業權進行注銷。
三、按照國土資源部劃分的時段要求,在本公告下發30日后,逾期未提出注銷申請的,堯都區國土資源局將依據相關法律法規,進行非申請注銷。
四、相關礦山企業要積極配合,主動申請、履行相關義務提供相應的注銷資料,以保障我區礦業權數據清理工作順利完成。
特此公告
堯都區國土資源局
2017年7月19日



責任編輯: 吉政